射頻PCB設計和要考慮的因素
射頻PCB設計和要考慮的因素
RF PCB設計可能與傳統電路板完全不同。它通過阻抗匹配、類型走線(最好是共面的)、消除過孔(以避免反射)、接地層和過孔以及電源去耦等參數來區分。這些板還具有重要的方面,例如疊層和材料選擇。
由于 EMI 干擾和高頻信號通道等因素,這些因素使射頻設計更加復雜。豐樂壹博PCB設計服務團隊是RF PCB設計專家。我們將在本文中詳細討論所有這些問題。讓我們從阻抗匹配開始。
阻抗匹配
當阻抗在整個跡線上保持恒定時,受控阻抗無線電電路允許從源到負載的最大功率傳輸而不會失真。這稱為跡線的特性阻抗 (Z )。走線的幾何形狀決定了特性阻抗。這包括走線寬度、PCB材料的介電常數和走線厚度。此外,從參考平面的高度。PCB設計人員可以通過設計匹配電路來匹配這些阻抗。
射頻板材料
某些材料用于制造滿足高頻操作要求的射頻PCB。這些材料必須具有低信號損耗并在高頻操作中保持穩定。它們還需要能夠吸收大量熱量。介電常數 (DK)、損耗角正切(tan-d)和熱膨脹系數(CTE) 需要在寬頻率范圍內保持一致。這些板具有3和 HTML3.5 作為介電常數的典型值。對于10-30GHz頻率范圍,損耗角正切值范圍為 0.0022 - 0.0095。
這些只是一些要求。此外,還要考慮制造的成本和難易程度。
通常使用由聚四氟乙烯(PTFE)、陶瓷和碳氫化合物制成的材料,或與某種玻璃混合。Rogers材料是射頻電路板設計的熱門選擇。羅杰斯的材料種類繁多。下面是幾個例子:
逆轉錄/杜羅
RO3000
RO4000
羅杰斯TMM
射頻PCB疊層
射頻板堆疊需要仔細注意組件和走線之間的隔離、電源去耦、層數、排列和放置等細節。下圖顯示了標準的4層射頻疊層。

頂層是放置射頻元件和走線的地方。頂層緊隨其后的是接地層和電源層。 底層包含所有非射頻部分和跟蹤信息。 這種安排最大限度地減少了射頻和非射頻組件之間的干擾。接地層是接地返回電流的最短路徑。這種疊層非常適合小型射頻板。
射頻走線設計
高頻信號傳播射頻跡線,因此容易受到干擾和傳輸損耗。走線是射頻板中的傳輸線。共面波導、微帶線和帶狀線是最常用的傳輸線。設計人員關心這些線路的特性阻抗。以下是一些確保正確操作和最小損耗的射頻走線設計注意事項。
保持走線盡可能短是至關重要的。這減少了衰減。
切勿在布局中平行放置RF和標準走線。如果兩者以這種方式放置,則會產生干擾。
需要接地層來提供信號返回路徑。
不建議在跡線上放置測試點。它會破壞走線的阻抗匹配值。
對于跟蹤性能,逐漸彎曲比保持急轉彎更好。

當無法進行右彎時,PCB設計人員可以使用計量過程來減少其影響。下圖說明了如何測量跡線。

以下公式給出 M:

設計地平面
任何射頻跡線或組件都需要返回路徑,或者允許電流通過它傳播。這是由地平面完成的。接地層需要額外的設計考慮。讓我們來看看它們。
每個射頻層都應該有一個專用的接地層。為了使電流路徑盡可能短,PCB設計人員應將接地層直接放置在每一層的下方。
地平面必須是連續的。不允許休息。這些中斷可能會為電流返回的更短路線開辟道路。
必須為放置在射頻傳輸電纜中的每個分流組件安裝兩個接地過孔。
通過設計
避免射頻走線中的過孔應該是重中之重。但是,如果PCB設計人員無法避免這些,則必須遵循特定的過孔尺寸和長度。寄生電容是由電路板中的過孔引起的。在射頻板的情況下,該電容會影響高頻操作。為了減少這些頻率上的干擾,必須在設計過孔時牢記以下準則:
通過引入更多的平行過孔來降低寄生電容
必須將專用過孔連接到組件的每個引腳或焊盤。
盡可能使用地平面縫合。這為電流創建了更短的接地回路。
通孔減少了射頻走線從一層到下一層的布線。
該設計允許您在內層和頂層接地層之間使用盡可能多的過孔。 這些過孔必須至少是信號波長的 1/20。
電源去耦
射頻板需要降噪才能有效。這些電路板容易受到高頻噪聲的影響。因此,去除噪聲是一項復雜的任務。其中一種方法是電源去耦。
選擇去耦電容
該濾波器可消除電源引入電路的任何噪聲。這些電容器稱為去耦電容器。這些電容器連接到電源。
阻抗匹配應該是每個射頻電路板不可或缺的一部分。連接去耦電容后,電路的阻抗應保持恒定。為避免阻抗變化,請遵循以下設計注意事項:
對于去耦,始終連接具有最小阻抗的電容器
要獲得最小阻抗,請在自諧振頻率(SRF)下運行電容器。電容器的SRF值將與其電容成反比。
尋找SRF接近噪聲頻率的電容器。
放置去耦電容
正確放置去耦電容至關重要。下面的電路顯示了與IC并聯放置的兩個去耦電容器。

較高的電容器用于過濾低頻噪聲和存儲能量。較低的電容器濾除高頻噪聲。這些是其他放置指南:
元件和去耦電容應放置在同一表面上。
將電容器與信號流路徑平行放置。
每個電容器都應該有自己的接地通孔。
根據電容升序排列電容器。電容最小的電容離電源最近。
制造商和設計人員都需要更加關注射頻板的設計和制造過程。DFM團隊應遵循設計清單。這些板容易受到干擾和高頻噪聲的影響,因此即使是最輕微的錯誤也會對操作產生重大影響。這些方面和其他方法將幫助我們改進我們的設計。
豐樂壹博專業PCB設計、PCB Layout、PCBA一站式生產.
RF PCB設計可能與傳統電路板完全不同。它通過阻抗匹配、類型走線(最好是共面的)、消除過孔(以避免反射)、接地層和過孔以及電源去耦等參數來區分。這些板還具有重要的方面,例如疊層和材料選擇。
由于 EMI 干擾和高頻信號通道等因素,這些因素使射頻設計更加復雜。豐樂壹博PCB設計服務團隊是RF PCB設計專家。我們將在本文中詳細討論所有這些問題。讓我們從阻抗匹配開始。
阻抗匹配
當阻抗在整個跡線上保持恒定時,受控阻抗無線電電路允許從源到負載的最大功率傳輸而不會失真。這稱為跡線的特性阻抗 (Z )。走線的幾何形狀決定了特性阻抗。這包括走線寬度、PCB材料的介電常數和走線厚度。此外,從參考平面的高度。PCB設計人員可以通過設計匹配電路來匹配這些阻抗。
射頻板材料
某些材料用于制造滿足高頻操作要求的射頻PCB。這些材料必須具有低信號損耗并在高頻操作中保持穩定。它們還需要能夠吸收大量熱量。介電常數 (DK)、損耗角正切(tan-d)和熱膨脹系數(CTE) 需要在寬頻率范圍內保持一致。這些板具有3和 HTML3.5 作為介電常數的典型值。對于10-30GHz頻率范圍,損耗角正切值范圍為 0.0022 - 0.0095。
這些只是一些要求。此外,還要考慮制造的成本和難易程度。
通常使用由聚四氟乙烯(PTFE)、陶瓷和碳氫化合物制成的材料,或與某種玻璃混合。Rogers材料是射頻電路板設計的熱門選擇。羅杰斯的材料種類繁多。下面是幾個例子:
逆轉錄/杜羅
RO3000
RO4000
羅杰斯TMM
射頻PCB疊層
射頻板堆疊需要仔細注意組件和走線之間的隔離、電源去耦、層數、排列和放置等細節。下圖顯示了標準的4層射頻疊層。

頂層是放置射頻元件和走線的地方。頂層緊隨其后的是接地層和電源層。 底層包含所有非射頻部分和跟蹤信息。 這種安排最大限度地減少了射頻和非射頻組件之間的干擾。接地層是接地返回電流的最短路徑。這種疊層非常適合小型射頻板。
射頻走線設計
高頻信號傳播射頻跡線,因此容易受到干擾和傳輸損耗。走線是射頻板中的傳輸線。共面波導、微帶線和帶狀線是最常用的傳輸線。設計人員關心這些線路的特性阻抗。以下是一些確保正確操作和最小損耗的射頻走線設計注意事項。
保持走線盡可能短是至關重要的。這減少了衰減。
切勿在布局中平行放置RF和標準走線。如果兩者以這種方式放置,則會產生干擾。
需要接地層來提供信號返回路徑。
不建議在跡線上放置測試點。它會破壞走線的阻抗匹配值。
對于跟蹤性能,逐漸彎曲比保持急轉彎更好。

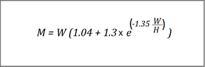
當無法進行右彎時,PCB設計人員可以使用計量過程來減少其影響。下圖說明了如何測量跡線。

以下公式給出 M:

設計地平面
任何射頻跡線或組件都需要返回路徑,或者允許電流通過它傳播。這是由地平面完成的。接地層需要額外的設計考慮。讓我們來看看它們。
每個射頻層都應該有一個專用的接地層。為了使電流路徑盡可能短,PCB設計人員應將接地層直接放置在每一層的下方。
地平面必須是連續的。不允許休息。這些中斷可能會為電流返回的更短路線開辟道路。
必須為放置在射頻傳輸電纜中的每個分流組件安裝兩個接地過孔。
通過設計
避免射頻走線中的過孔應該是重中之重。但是,如果PCB設計人員無法避免這些,則必須遵循特定的過孔尺寸和長度。寄生電容是由電路板中的過孔引起的。在射頻板的情況下,該電容會影響高頻操作。為了減少這些頻率上的干擾,必須在設計過孔時牢記以下準則:
通過引入更多的平行過孔來降低寄生電容
必須將專用過孔連接到組件的每個引腳或焊盤。
盡可能使用地平面縫合。這為電流創建了更短的接地回路。
通孔減少了射頻走線從一層到下一層的布線。
該設計允許您在內層和頂層接地層之間使用盡可能多的過孔。 這些過孔必須至少是信號波長的 1/20。
電源去耦
射頻板需要降噪才能有效。這些電路板容易受到高頻噪聲的影響。因此,去除噪聲是一項復雜的任務。其中一種方法是電源去耦。
選擇去耦電容
該濾波器可消除電源引入電路的任何噪聲。這些電容器稱為去耦電容器。這些電容器連接到電源。
阻抗匹配應該是每個射頻電路板不可或缺的一部分。連接去耦電容后,電路的阻抗應保持恒定。為避免阻抗變化,請遵循以下設計注意事項:
對于去耦,始終連接具有最小阻抗的電容器
要獲得最小阻抗,請在自諧振頻率(SRF)下運行電容器。電容器的SRF值將與其電容成反比。
尋找SRF接近噪聲頻率的電容器。
放置去耦電容
正確放置去耦電容至關重要。下面的電路顯示了與IC并聯放置的兩個去耦電容器。

較高的電容器用于過濾低頻噪聲和存儲能量。較低的電容器濾除高頻噪聲。這些是其他放置指南:
元件和去耦電容應放置在同一表面上。
將電容器與信號流路徑平行放置。
每個電容器都應該有自己的接地通孔。
根據電容升序排列電容器。電容最小的電容離電源最近。
制造商和設計人員都需要更加關注射頻板的設計和制造過程。DFM團隊應遵循設計清單。這些板容易受到干擾和高頻噪聲的影響,因此即使是最輕微的錯誤也會對操作產生重大影響。這些方面和其他方法將幫助我們改進我們的設計。
豐樂壹博專業PCB設計、PCB Layout、PCBA一站式生產.
上一新聞:PCB設計的基本最佳規則
下一新聞:淺談pcb設計規范